首页
解决方案
老旧风机升级改造方案

老旧风机升级改造方案

满足风电产业进步与技术标准升级的客观需要
实施目的
实施措施
对核心控制系统进行升级
  • 01

    硬件升级

    采用独立国产化控制器模块,提高系统的可靠性。
  • 02

    软件升级

    控制算法、控制策略升级,自适应控制、偏航优化控制、智能双模运行控制、功率曲线优化。
  • 03

    电网适应性升级

    低穿算法升级、高穿算法升级、一次调频算法升级。
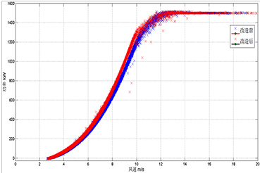
现场应用
  • 功率曲线对比

  • 监控系统界面

  • 风机操作界面

  • 变流器信号显示